APPLY NOW

The High Performance Journal

4 Minute Fridays: A $10 Supplement That Slows Your Pace Of Aging, The Best Workout For Your Arteries & The Sweetener I Use Instead Of Sugar

4 minute fridays Mar 13, 2026

Welcome to 4 Minute Fridays, my weekly newsletter, where I reveal cutting-edge tips to help you get lean, boost energy, and live longer.


What's In Store For Today:

  • A $10 supplement that slows your pace of aging
  • The best workout for your arteries
  • The sweetener I use instead of sugar

Today's issue is brought to you by High Performance Founder Private Coaching.

We help high-achieving entrepreneurs and professionals drop weight, lose the belly, and improve their energy levels without giving up their favorite foods or spending hours in the gym.

If you're an entrepreneur with 20 pounds or more to lose, you are sitting on a goldmine of unrealized performance, energy, and confidence.

Click the link below to sign up for a free Result Accelerator Call, and let's get you in the best shape of your life.

Click here to apply for body transformation coaching


Hey friend,

A friend recently came to me with a problem I hear all the time: he wanted to start a new venture but still be a great dad and husband to his family.

I've wrestled with this before, and it's made me come up with something that I call the 2 Constraint Theory.

When designing your life, focus on two things:

Constraint #1: The single biggest thing blocking you from your goal.

Constraint #2: A counter-constraint that keeps you anchored to your values.

Most people attack their goals and go all in without setting any limits or guardrails.

Often, when they get there, they achieve it, but at a cost they didn't see coming. This could be the marriage that frayed, or kids who barely remember you being around, or the health that quietly deteriorated.

From my experience, a great life isn't just about removing obstacles, it's about choosing the right ones to keep.

Fix the constraint that's holding you back, but protect the constraint that makes life worth living.

That's the game.

Here's what caught my attention this week.

Here Is Your 4 Minute Friday:


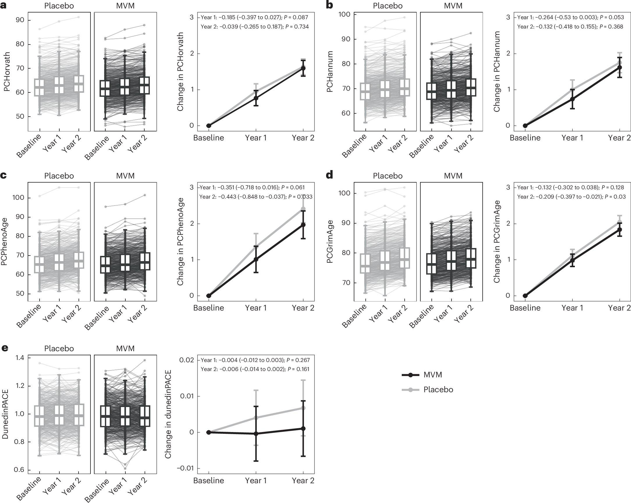
1. A $10 Supplement Might Slow How Fast You Age

Most longevity supplements cost a fortune. This one costs less than a lunch.

A new randomized trial from COSMOS tested whether a daily multivitamin could slow biological aging, as measured by epigenetic clocks.

These clocks don't measure how old you are. They measure how fast your cells are aging.

They found that people taking a basic multivitamin (Centrum Silver) showed a measurable slowdown in their biological aging rate over two years. The effect was strongest in people who were aging fastest to begin with.

Now, the effect was modest, and this was an older population. We don't know if this translates into people in their 30s and 40s, but something I realized with coaching thousands of clients is the fact that many of them are not eating the perfect diet.

They also come with a good amount of nutrient deficiencies. While a quality multivitamin isn't a magic pill, it will help the average person plug the nutritional gaps.

And this could be enough for someone to live a longer life.

2. The One Workout That Actually Trains Your Arteries

Most people do HIIT to burn fat or improve fitness. Turns out it's also doing something important inside your arteries.

A recent meta-analysis found that HIIT improves flow-mediated dilation by about 4% better than exercise and moderate cardio combined.

The reason comes down to shear stress. When you push hard, blood moves through your vessels with a force 2–4x higher than at rest.

That pressure appears to be a potent signal for arterial remodeling, essentially training your blood vessels the same way lifting trains your muscles.

Your heart is more than a pump. It's part of a system, and that system responds best to intensity

One hard session a week is enough to start.

❤️ My Favourite Thing This Week

 

I have a sweet tooth, but I'm doing my best to stay away from most processed sugars, except for this one.

Out of all the artificial sugars that are out there, monk fruit seems to be the most beneficial, with early research showing that it may improve insulin sensitivity and blood sugar.

Now, mind you, I take this in small amounts, and I put this in my protein ice cream or my Greek yogurt breakfast.

I've found that it is a great way to add sweetness to your meals without all the other nasty stuff that comes along with it.

I've got no affiliation with this brand, but if you want to try it out, you can check it out at the link right here.

 

Client Of The Week - Brody, Physician

Brody is a physician who wanted to improve his health, energy, and consistency despite a demanding schedule.

He’s now down 22.01 lbs, lost 5 inches off his waist, and dropped 15 lbs of pure fat—with improved health markers, higher energy, better stress management, and a new habit of proactively planning around travel and social events so he can stay consistent without sacrificing his lifestyle.

Here's how we did it:

  • Focused on strength training to burn fat while preserving muscle
  • Built simple nutrition habits that support busy workdays
  • Planned ahead for travel and social occasions to maintain consistency

Brody didn’t just improve his body, he upgraded his system for long-term health. Great work, Brody!

Are you an entrepreneur who wants to drop the fat, gain muscle, and boost energy? Click this link to apply for our coaching program. 

 

One Quote To Finish Your Week Strong


"The conditions, circumstances, and environment of your life are not the cause of your life—they are the effects."

 

― Dr. Joseph Murphy


While most people consider their results as the causes of their life, they are the effects, usually stemming from how they think, act, and operate in this world.

If you want to change the results, you must be the one to change.

As promised, get healthier in under 4 minutes.

- Dan

 

When you're ready, here are 2 ways I can help:

1. The Lean Body 90 System: When you’re ready to get in great shape, Lean Body 90 is the obvious choice. You can get in great shape and reach your fitness goals in just 90 minutes a week. Lose weight and build muscle even without hours in the gym or highly restrictive diets. Join 1000+ students here.

2. Are you an entrepreneur who wants to get lean, boost energy, and get in your best shape? Apply for private one-on-one coaching here.

 



References

  1. Li, S., Hamaya, R., Zhu, H. et al. Effects of daily multivitamin–multimineral and cocoa extract supplementation on epigenetic aging clocks in the COSMOS randomized clinical trial. Nat Med (2026). https://doi.org/10.1038/s41591-026-04239-3 
  2. Li G, Dong D. A meta-analysis of the effects of high-intensity interval training on circulatory system-related indicators in sedentary populations. Front Physiol. 2025 Dec 10;16:1702247. doi: 10.3389/fphys. 2025.1702247. PMID: 41451127; PMCID: PMC12727600.


Disclaimer: This email is provided for educational and informational purposes only and does not constitute providing medical advice or professional services. The information provided should not be used for diagnosing or treating a health problem or disease, and those seeking personal medical advice should consult with a licensed physician.


 

Build your high performance body in a way that fits your busy lifestyle.

Join 515,000+ subscribers to The High Performance Journal. Every week you'll get actionable tips on getting lean, building muscle, and building a high performing body.

You're safe with me. I'll never spam you or sell your contact info.